| The solutions on this page focus on the questions: |
| 1. finding areas under one exponential curve. |
| 2. finding areas between two curves. |
Areas
(1 curve) |
1.
Find the x intercept:

|
2. 
Remember: Areas below the x axis are calculated to be negative so we need to take the absolute value.

|
| |
3.  |
4.
If we develop an equation for the required area, we will have to try to integrate a log function. Can't do that.
So we will calculate the area of the rectangle and subtract the area under the curve - which is easy to determine.

|
| |
5.  |
6. 

|
| |
7. (i) 
(ii)  |
8. |
| |
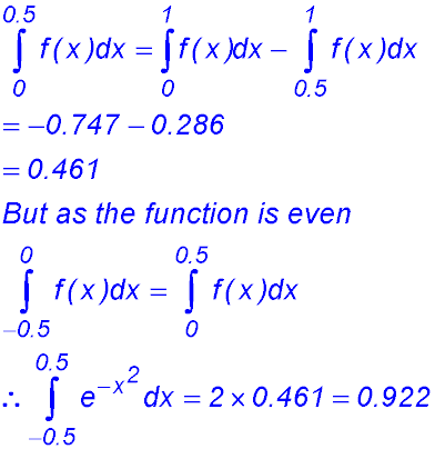
9. |
|
Areas
(2 curves) |
10. 
(i) Find the point of intersection:

(ii)  |
11. 

|
| |
12. 
Use TOP CURVE - BOTTOM CURVE.

|
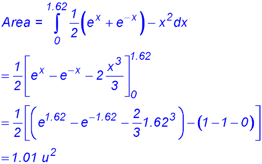
13. 


|
| |
14. (i) 
(ii) y values are the same
∴ ex + 1 = e + 1
ex = e
∴ x = 1 and y = e + 1.
(iii) |
15. |